Anlage (zu § 16)
Berechnung des effektiven Jahreszinses
Grundgleichung zur Darstellung der Gleichheit zwischen Verbraucherdarlehens-Auszahlungsbeträgen einerseits und Rückzahlungen (Tilgung, Zinsen und Verbraucherdarlehenskosten) andererseits.
Die nachstehende Gleichung zur Ermittlung des effektiven Jahreszinses drückt auf jährlicher Basis die rechnerische Gleichheit zwischen der Summe der Gegenwartswerte der in Anspruch genommenen Verbraucherdarlehens-Auszahlungsbeträge einerseits und der Summe der Gegenwartswerte der Rückzahlungen (Tilgung, Zinsen und Verbraucherdarlehenskosten) andererseits aus:

Hierbei ist
X der effektive Jahreszins;
m die laufende Nummer des letzten Verbraucherdarlehens-Auszahlungsbetrags;
k die laufende Nummer eines Verbraucherdarlehens-Auszahlungsbetrags, wobei 1 ≤ k ≤ m;
Ck die Höhe des Verbraucherdarlehens-Auszahlungsbetrags mit der Nummer k;
tk der in Jahren oder Jahresbruchteilen ausgedrückte Zeitraum zwischen der ersten Verbraucherdarlehensvergabe und dem Zeitpunkt der einzelnen nachfolgenden in Anspruch genommenen Verbraucherdarlehens-Auszahlungsbeträge, wobei t1 = 0;
m’ die laufende Nummer der letzten Tilgungs-, Zins- oder Kostenzahlung;
I die laufende Nummer einer Tilgungs-, Zins- oder Kostenzahlung;
D1 der Betrag einer Tilgungs-, Zins- oder Kostenzahlung;
s1 der in Jahren oder Jahresbruchteilen ausgedrückte Zeitraum zwischen dem Zeitpunkt der Inanspruchnahme des ersten Verbraucherdarlehens-Auszahlungsbetrags und dem Zeitpunkt jeder einzelnen Tilgungs-, Zins- oder Kostenzahlung.
Anmerkungen:
Die von beiden Seiten zu unterschiedlichen Zeitpunkten gezahlten Beträge sind nicht notwendigerweise gleich groß und werden nicht notwendigerweise in gleichen Zeitabständen entrichtet.
Anfangszeitpunkt ist der Tag der Auszahlung des ersten Verbraucherdarlehensbetrags.
Der Zeitraum zwischen diesen Zeitpunkten wird in Jahren oder Jahresbruchteilen ausgedrückt. Zugrunde gelegt werden für ein Jahr 365 Tage (bzw. für ein Schaltjahr 366 Tage), 52 Wochen oder 12 Standardmonate. Ein Standardmonat hat 30,41666 Tage (d. h. 365/12), unabhängig davon, ob es sich um ein Schaltjahr handelt oder nicht.
Können die Zeiträume zwischen den in den Berechnungen verwendeten Zeitpunkten nicht als ganze Zahl von Wochen, Monaten oder Jahren ausgedrückt werden, so sind sie als ganze Zahl eines dieser Zeitabschnitte in Kombination mit einer Anzahl von Tagen auszudrücken. Bei der Verwendung von Tagen
aa)werden alle Tage einschließlich Wochenenden und Feiertage gezählt;
bb)werden gleich lange Zeitabschnitte und dann Tage bis zur Inanspruchnahme des ersten Verbraucherdarlehensbetrags zurückgezählt;
cc)wird die Länge des in Tagen bemessenen Zeitabschnitts ohne den ersten und einschließlich des letzten Tages berechnet und in Jahren ausgedrückt, indem dieser Zeitabschnitt durch die Anzahl von Tagen des gesamten Jahres (365 oder 366 Tage), zurückgezählt ab dem letzten Tag bis zum gleichen Tag des Vorjahres, geteilt wird.
Das Rechenergebnis wird auf zwei Dezimalstellen genau angegeben. Ist die Ziffer der dritten Dezimalstelle größer als oder gleich 5, so erhöht sich die Ziffer der zweiten Dezimalstelle um den Wert 1.
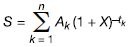
Mathematisch darstellen lässt sich diese Gleichung durch eine einzige Summation unter Verwendung des Faktors „Ströme“ (Ak), die entweder positiv oder negativ sind, je nachdem, ob sie für Auszahlungen oder für Rückzahlungen innerhalb der Perioden 1 bis n, ausgedrückt in Jahren, stehen:

dabei ist S der Saldo der Gegenwartswerte aller „Ströme“, deren Wert gleich Null sein muss, damit die Gleichheit zwischen den „Strömen“ gewahrt bleibt.
Es gelten die folgenden zusätzlichen Annahmen für die Berechnung des effektiven Jahreszinses:
Ist dem Verbraucher nach dem Verbraucherdarlehensvertrag freigestellt, wann er das Verbraucherdarlehen in Anspruch nehmen will, so gilt das gesamte Verbraucherdarlehen als sofort in voller Höhe in Anspruch genommen.
Ist dem Verbraucher nach dem Verbraucherdarlehensvertrag generell freigestellt, wann er das Verbraucherdarlehen in Anspruch nehmen will, sind jedoch je nach Art der Inanspruchnahme Beschränkungen in Bezug auf Verbraucherdarlehensbetrag und Zeitraum vorgesehen, so gilt das gesamte Verbraucherdarlehen als zu dem im Verbraucherdarlehensvertrag vorgesehenen frühestmöglichen Zeitpunkt mit den entsprechenden Beschränkungen in Anspruch genommen.
Sieht der Verbraucherdarlehensvertrag verschiedene Arten der Inanspruchnahme mit unterschiedlichen Kosten oder Sollzinssätzen vor, so gilt das gesamte Verbraucherdarlehen als zu den höchsten Kosten und zum höchsten Sollzinssatz in Anspruch genommen, wie sie für die Kategorie von Geschäften gelten, die bei dieser Art von Verbraucherdarlehensverträgen am häufigsten vorkommt.
Bei einer Überziehungsmöglichkeit gilt das gesamte Verbraucherdarlehen als in voller Höhe und für die gesamte Laufzeit des Verbraucherdarlehensvertrags in Anspruch genommen. Ist die Dauer der Überziehungsmöglichkeit nicht bekannt, so ist bei der Berechnung des effektiven Jahreszinses von der Annahme auszugehen, dass die Laufzeit des Verbraucherdarlehensvertrags drei Monate beträgt.
Bei einem Überbrückungsdarlehen gilt das gesamte Verbraucherdarlehen als in voller Höhe und für die gesamte Laufzeit des Verbraucherdarlehensvertrags in Anspruch genommen. Ist die Laufzeit des Verbraucherdarlehensvertrags nicht bekannt, so wird bei der Berechnung des effektiven Jahreszinses von der Annahme ausgegangen, dass sie 12 Monate beträgt.
Bei einem unbefristeten Verbraucherdarlehensvertrag, der weder eine Überziehungsmöglichkeit noch ein Überbrückungsdarlehen beinhaltet, wird angenommen, dass
aa)das Verbraucherdarlehen bei Immobiliar-Verbraucherdarlehensverträgen für einen Zeitraum von 20 Jahren ab der ersten Inanspruchnahme gewährt wird und dass mit der letzten Zahlung des Verbrauchers der Saldo, die Zinsen und etwaige sonstige Kosten ausgeglichen sind; bei Allgemein-Verbraucherdarlehensverträgen, die nicht für den Erwerb oder die Erhaltung von Rechten an Immobilien bestimmt sind oder bei denen das Verbraucherdarlehen im Rahmen von Debit-Karten mit Zahlungsaufschub oder Kreditkarten in Anspruch genommen wird, dieser Zeitraum ein Jahr beträgt und dass mit der letzten Zahlung des Verbrauchers der Saldo, die Zinsen und etwaige sonstige Kosten ausgeglichen sind;
bb)der Verbraucherdarlehensbetrag in gleich hohen monatlichen Zahlungen, beginnend einen Monat nach dem Zeitpunkt der ersten Inanspruchnahme, zurückgezahlt wird; muss der Verbraucherdarlehensbetrag jedoch vollständig, in Form einer einmaligen Zahlung, innerhalb jedes Zahlungszeitraums zurückgezahlt werden, so ist anzunehmen, dass spätere Inanspruchnahmen und Rückzahlungen des gesamten Verbraucherdarlehensbetrags durch den Verbraucher innerhalb eines Jahres stattfinden; Zinsen und sonstige Kosten werden entsprechend diesen Inanspruchnahmen und Tilgungszahlungen und nach den Bestimmungen des Verbraucherdarlehensvertrags festgelegt.
Als unbefristete Verbraucherdarlehensverträge gelten für die Zwecke dieses Buchstabens Verbraucherdarlehensverträge ohne feste Laufzeit, einschließlich solcher Verbraucherdarlehen, bei denen der Verbraucherdarlehensbetrag innerhalb oder nach Ablauf eines Zeitraums vollständig zurückgezahlt werden muss, dann aber erneut in Anspruch genommen werden kann.
Bei Verbraucherdarlehensverträgen, die weder Überziehungsmöglichkeiten beinhalten noch Überbrückungsdarlehen, Verbraucherdarlehensverträge mit Wertbeteiligung, Eventualverpflichtungen oder Garantien sind, und bei unbefristeten Verbraucherdarlehensverträgen (siehe die Annahmen unter den Buchstaben d, e, f, l und m) gilt Folgendes:
aa)Lassen sich der Zeitpunkt oder die Höhe einer vom Verbraucher zu leistenden Tilgungszahlung nicht feststellen, so ist anzunehmen, dass die Rückzahlung zu dem im Verbraucherdarlehensvertrag genannten frühestmöglichen Zeitpunkt und in der darin festgelegten geringsten Höhe erfolgt.
bb)Lässt sich der Zeitraum zwischen der ersten Inanspruchnahme und der ersten vom Verbraucher zu leistenden Zahlung nicht feststellen, so wird der kürzest mögliche Zeitraum angenommen.
cc)Ist der Zeitpunkt des Abschlusses des Verbraucherdarlehensvertrags nicht bekannt, so ist anzunehmen, dass das Verbraucherdarlehen erstmals zu dem Zeitpunkt in Anspruch genommen wurde, der sich aus dem kürzesten zeitlichen Abstand zwischen diesem Zeitpunkt und der Fälligkeit der ersten vom Verbraucher zu leistenden Zahlung ergibt.
Lassen sich der Zeitpunkt oder die Höhe einer vom Verbraucher zu leistenden Zahlung nicht anhand des Verbraucherdarlehensvertrags oder der Annahmen nach den Buchstaben d, e, f, g, l oder m feststellen, so ist anzunehmen, dass die Zahlung in Übereinstimmung mit den vom Darlehensgeber bestimmten Fristen und Bedingungen erfolgt, und dass, falls diese nicht bekannt sind,
aa)die Zinszahlungen zusammen mit den Tilgungszahlungen erfolgen,
bb)Zahlungen für Kosten, die keine Zinsen sind und die als Einmalbetrag ausgedrückt sind, bei Abschluss des Verbraucherdarlehensvertrags erfolgen,
cc)Zahlungen für Kosten, die keine Zinsen sind und die als Mehrfachzahlungen ausgedrückt sind, beginnend mit der ersten Tilgungszahlung in regelmäßigen Abständen erfolgen, und es sich, falls die Höhe dieser Zahlungen nicht bekannt ist, um jeweils gleich hohe Beträge handelt,
dd)mit der letzten Zahlung der Saldo, die Zinsen und etwaige sonstige Kosten ausgeglichen sind.
Ist keine Verbraucherdarlehensobergrenze vereinbart, ist anzunehmen, dass die Obergrenze des gewährten Verbraucherdarlehens 170 000 EUR beträgt. Bei Verbraucherdarlehensverträgen, die weder Eventualverpflichtungen noch Garantien sind und die nicht für den Erwerb oder die Erhaltung eines Rechts an Wohnimmobilien oder Grundstücken bestimmt sind, sowie bei Überziehungsmöglichkeiten, Debit-Karten mit Zahlungsaufschub oder Kreditkarten ist anzunehmen, dass die Obergrenze des gewährten Verbraucherdarlehens 1 500 EUR beträgt.
Werden für einen begrenzten Zeitraum oder Betrag verschiedene Sollzinssätze und Kosten angeboten, so sind während der gesamten Laufzeit des Verbraucherdarlehensvertrags der höchste Sollzinssatz und die höchsten Kosten anzunehmen.
Bei Verbraucherdarlehensverträgen, bei denen für den Anfangszeitraum ein fester Sollzinssatz vereinbart wurde, nach dessen Ablauf ein neuer Sollzinssatz festgelegt wird, der anschließend in regelmäßigen Abständen nach einem vereinbarten Indikator oder einem internen Referenzzinssatz angepasst wird, wird bei der Berechnung des effektiven Jahreszinses von der Annahme ausgegangen, dass der Sollzinssatz ab dem Ende der Festzinsperiode dem Sollzinssatz entspricht, der sich aus dem Wert des vereinbarten Indikators oder des internen Referenzzinssatzes zum Zeitpunkt der Berechnung des effektiven Jahreszinses ergibt, die Höhe des festen Sollzinssatzes jedoch nicht unterschreitet.
Bei Eventualverpflichtungen oder Garantien wird angenommen, dass das gesamte Verbraucherdarlehen zum früheren der beiden folgenden Zeitpunkte als einmaliger Betrag vollständig in Anspruch genommen wird:
aa)zum letztzulässigen Zeitpunkt nach dem Verbraucherdarlehensvertrag, welcher die potenzielle Quelle der Eventualverbindlichkeit oder Garantie ist, oder
bb)bei einem Roll-over-Verbraucherdarlehensvertrag am Ende der ersten Zinsperiode vor der Erneuerung der Vereinbarung.
Bei Verbraucherdarlehensverträgen mit Wertbeteiligung wird angenommen, dass
aa)die Zahlungen der Verbraucher zu den letzten nach dem Verbraucherdarlehensvertrag möglichen Zeitpunkten geleistet werden;
bb)die prozentuale Wertsteigerung der Immobilie, die die Sicherheit für den Vertrag darstellt, und ein in dem Vertrag genannter Inflationsindex ein Prozentsatz ist, der – je nachdem, welcher Satz höher ist – dem aktuellen Inflationsziel der Zentralbank oder der Höhe der Inflation in dem Mitgliedstaat, in dem die Immobilie belegen ist, zum Zeitpunkt des Abschlusses des Verbraucherdarlehensvertrags oder dem Wert 0 %, falls diese Prozentsätze negativ sind, entspricht.
Fundstelle(n):
zur Änderungsdokumentation
IAAAH-97041