RückAbzinsV § 4
§ 4 Umrechnung von Festzins-Swapsätzen in Null-Kupon-Swapsätze
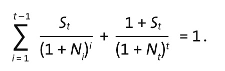
1Die Null-Kupon-Swapsätze werden aus den Festzins-Swapsätzen mit Hilfe der Null-Kupon-Anleihen-Entbündelung (Bootstrapping) abgeleitet, und sind dadurch charakterisiert, dass die Fälligkeitstermine im Jahresabstand aufeinanderfolgen und mit den Kuponterminen zusammenfallen. 2Für den Gegenwartswert eines Festzins-Swaps mit Laufzeit t gilt:

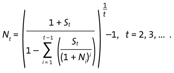
3Der Festzins-Swapsatz mit einer Laufzeit von einem Jahr entspricht dem Null-Kupon-Swapsatz mit einer einjährigen Laufzeit; S1 = N1. 4Die weiteren ganzjährigen Null-Kupon-Swapsätze werden wie folgt schrittweise berechnet:

Fundstelle(n):
zur Änderungsdokumentation
TAAAD-34227